Ab initio up to the melting point: Anharmonicity and vacancies in aluminum
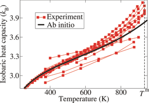
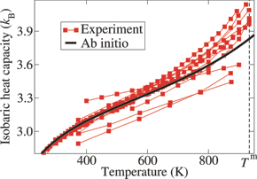
The balance between different contributions to the high-temperature heat capacity of materials can hardly be assessed experimentally. In this study, we develop computationally highly efficient ab initio methods which allow us to gain insight into the relevant physical mechanisms. Some of the results have lead to breakdown of the common interpretation of temperature dependencies.












