First-principles study of magnetic properties in high entropy alloys
FIG. 1. Total energy vs lattice constant for different magnetic states of FeCoNiMn.
High entropy alloys have been extensively studied over the last decade or so due to their outstanding mechanical properties such excellent strength, extreme ductility and high fracture resistance. In contrast, understanding of magnetic properties in HEAs is still limited. In order to explore the possibility of using HEAs for functional applications such as magnetic refrigeration, a proper knowledge of their magnetic properties is of utmost importance. The goal of the present project is to thoroughly investigate the complex magnetic structures in different Mn and Cr containing medium and HEAs and provide guidelines for designing new HEAs with improved magnetic properties.
To achieve this goal, the structural and magnetic properties of a wide range of HEAs will be investigated. Density functional theory (DFT) is a state-of-the-art theoretical method which provides access to energies for different magnetic states (Fig. 1) in a reliable manner. The coherent potential approximation (CPA) will be used to treat chemical disorder while the high temperature paramagnetic state can be modelled within the disordered local moment (DLM) approximation.
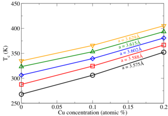
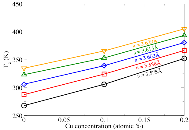
FIG. 2. Curie temperature (Tc) as a function of Cu concentration for different lattice parameters of Fe0.20Co0.20(NiMn)(0.60-x)/2Cux.
The above computational approach is a quick and efficient scheme to scan magnetic properties such as spin magnetic moment, Curie temperature etc. of a large number of alloys. In this project, we will not be restricted to HEAs having magnetic elements only but will also study the impact of doping with non-magnetic substitutional elements (Fig. 2). Such an alloying strategy will provide us a platform to investigate the influence of factors such as lattice expansion on the magnetic properties of HEAs.
The predicted structural and magnetic properties for different medium and HEAs will be subsequently verified in a close collaboration with our experimental colleagues.













